Contoh Surat Perjanjian Sewa Tanah Untuk Pertanian
Kemudian saya melakukan transaksi kedua untuk memperpanjang sewa. Pemerintah berwenang untuk melakukan perjanjian dengan pemerintah negara lain dalam rangka penghindaran pajak berganda dan pencegahan pengelakan pajak.
Surat Perjanjian Sewa Menyewa Tanah Sawah Garapan 1 Pdf
Penyediaan jasa usaha ini dapat mencakup bantuan nasihat bimbingan dan operasional berbagai fungsi manajemen konsultasi manajemen olah agronomist dan agricultural economis pada bidang pertanian dan sejenisnya rancangan dari metode dan prosedur akuntansi program akuntansi biaya prosedur pengawasan anggaran belanja pemberian nasihat dan bantuan.
. Undang-undang ini mulai berlaku pada tanggal 1 Januari 2001. Saya juga mohon bantuannya untuk penyusutan sewa bangunan. Terima kasih untuk sudah memberikan informasi secara detail untuk pengelompokan harta berwujud.
Undang-undang ini dapat disebut Undang-undang Perubahan Ketiga Undang-undang Pajak Penghasilan 1984. Berisi 18 modul bahan ajar untuk matakuliah Manajemen Investasi dan Teori Portofolio. Untuk membuka toko saya menyewa tokobangunan dengan periode 5 tahun 2009-2014 sebesar 375 juta.
Doc Surat Perjanjian Sewa Tanah Sawah Ganjaran Budi Takioe Academia Edu
Contoh Surat Perjanjian Sewa Tanah Detiklife
Contoh Surat Perjanjian Sewa Tanah Detiklife
Doc Surat Perjanjian Sewa Tanah Luqman Hakim Academia Edu
5 Contoh Surat Perjanjian Sewa Tanah Untuk Berbagai Keperluan
Contoh Surat Sewa Tanah Pertanian Tengok Letter Website
Surat Perjanjian Sewa Tanah Pertanian
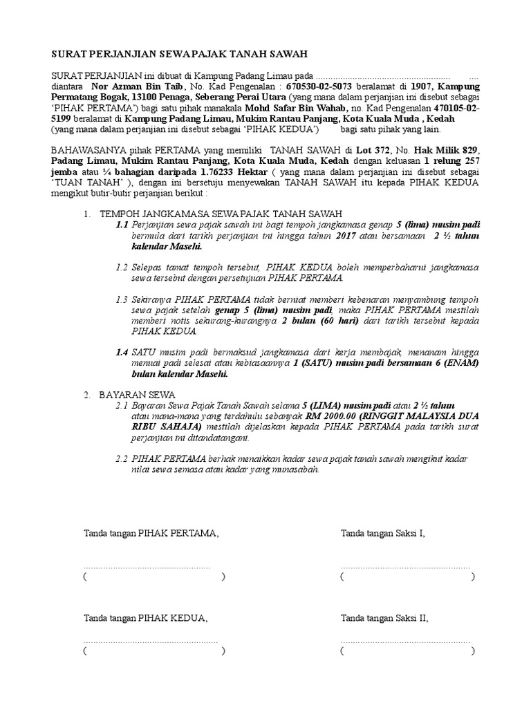
Surat Perjanjian Sewa Pajak Tanah Sawah 2016 Pdf
5 Contoh Surat Perjanjian Sewa Tanah Untuk Berbagai Keperluan
Contoh Surat Perjanjian Sewa Tanah Untuk Pertanian
Surat Perjanjian Sewa Tanah Pdf
Panduan Dan Contoh Pembuatan Surat Perjanjian Sewa Tanah Lengkap
Surat Perjanjian Sewa Tanah Pertanian
Contoh Surat Perjanjian Sewa Tanah Pdf
Surat Perjanjian Sewa Menyewa Tanah Kas Desa Pdf
Doc Contoh Surat Perjanjian Sewa Tanah Resmi Nekopencil
Contoh Surat Perjanjian Sewa Lahan Surat Riwayat Hidup Tablet

0 Response to "Contoh Surat Perjanjian Sewa Tanah Untuk Pertanian"
Post a Comment